• Предмет: Алгебра
  • Автор: tanyangel021979
  • Вопрос задан 2 года назад

помогите пожалуйста решить если можно то фото с решением дам 20 б ​

Приложения:

Ответы

Ответ дал: kglapelsina
0

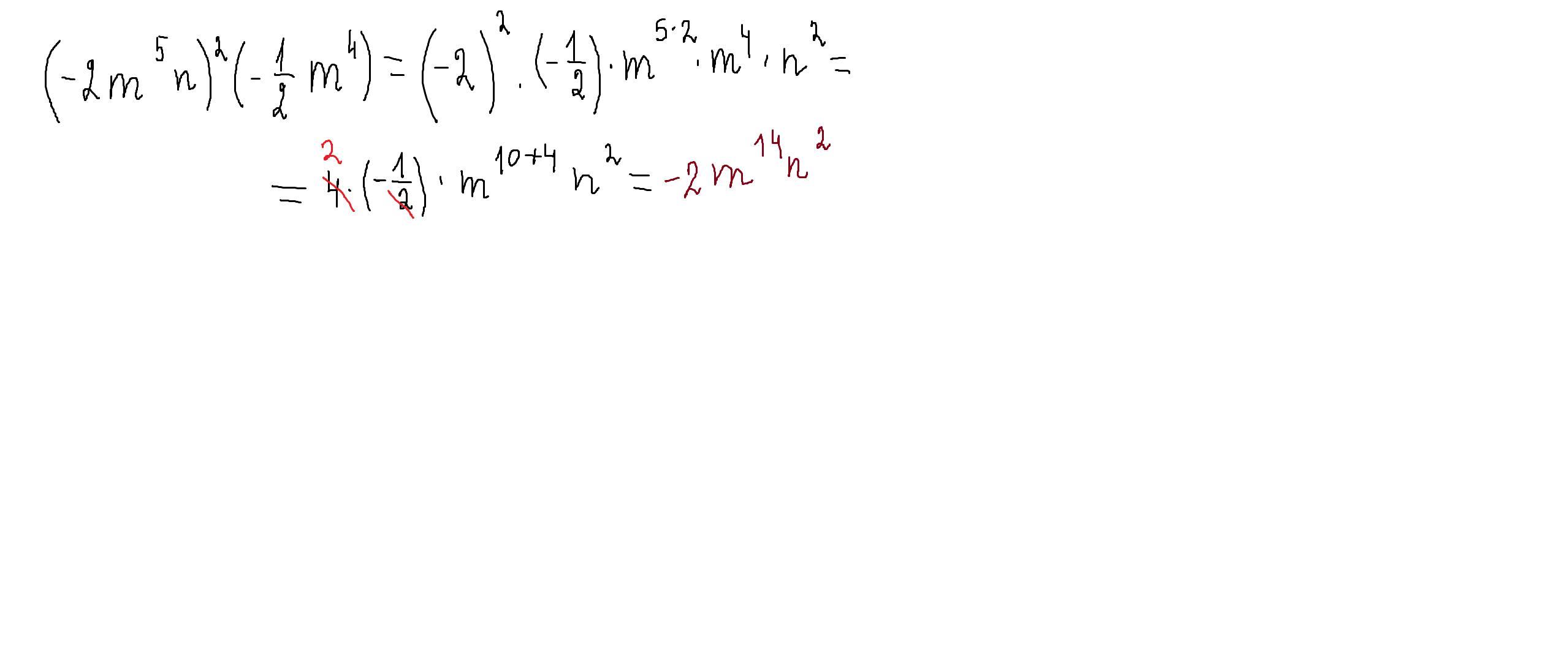
Ответ:-2m^14n^2

Объяснение:

Ответ дал: parus77
0

Ответ:

Объяснение:

решение внизу

Приложения:
Вас заинтересует