• Предмет: Математика
  • Автор: alexaslokun555
  • Вопрос задан 2 года назад

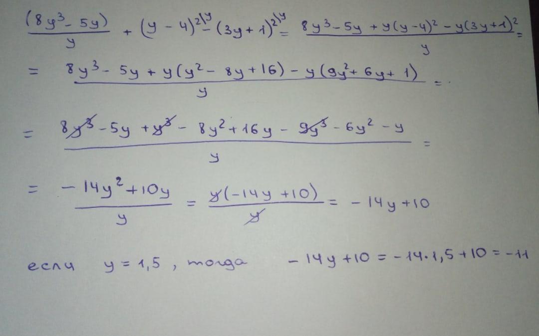
(8y³-5y):y+(y-4)²-(3y+1)² ,если y=1,5​

Ответы

Ответ дал: Анька2107
1

Ответ:

- 11

Пошаговое объяснение:

Приложения:
Вас заинтересует