• Предмет: Алгебра
  • Автор: biLOLbi
  • Вопрос задан 2 года назад

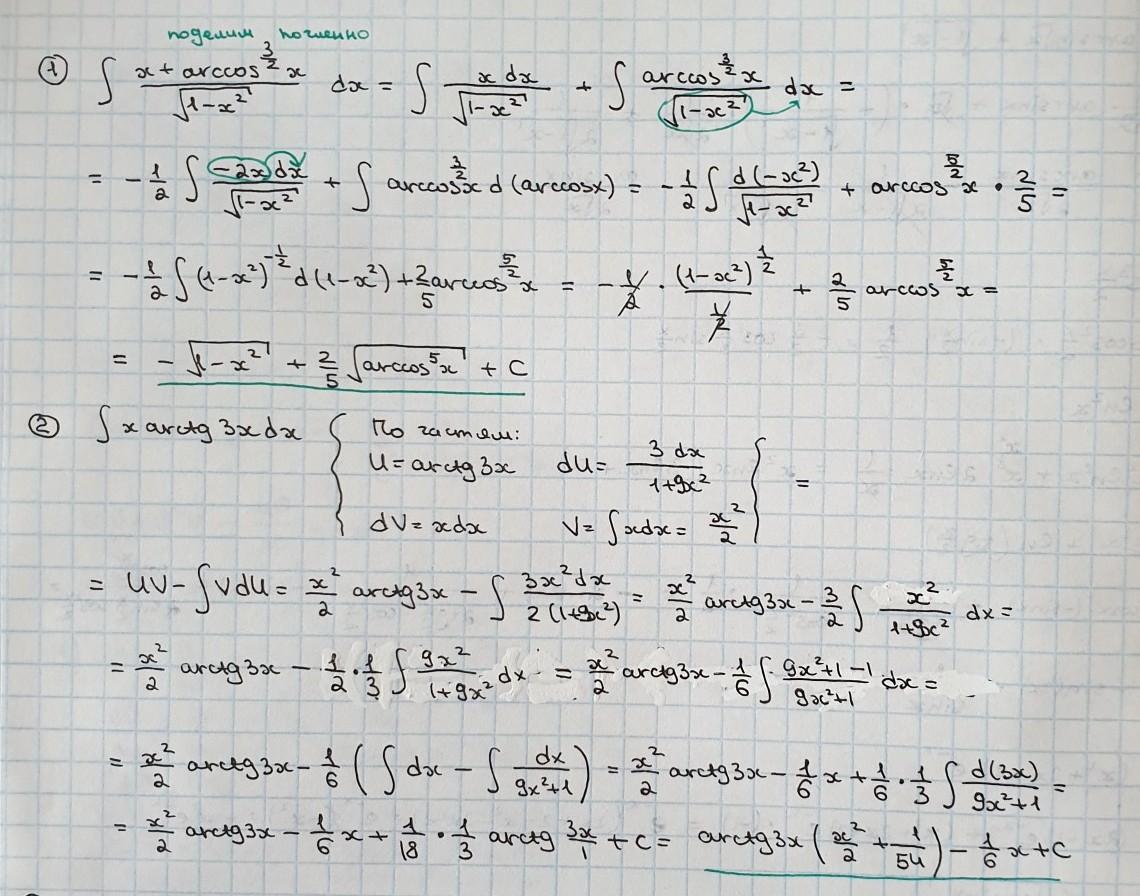
Помогите с интегралами

Приложения:

Ответы

Ответ дал: Miroslava227
1

Ответ:

решение на фотографиях

Приложения:

biLOLbi: Вот это Вы быстро управились, спасибо большое!
Вас заинтересует