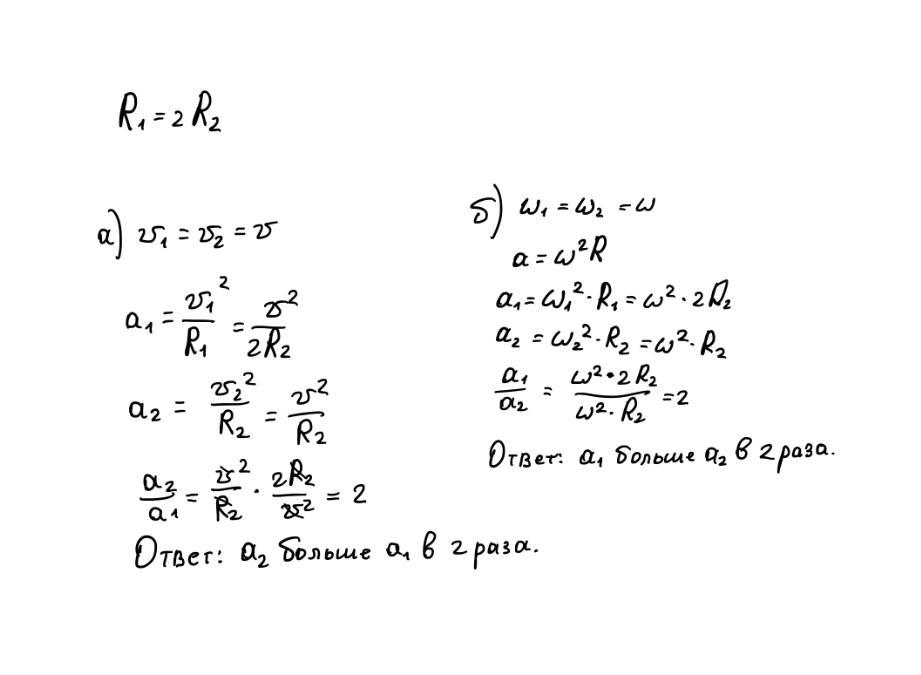
Две материальные точки движутся по окружности радиусами R1 и R2,, причем R1 = 2R2. Сравнить их центростремительные ускорения в случаях: а) равенства их линейных скоростей; б) равенства их угловых скоростей.
Ответы
Ответ дал:
6
Ответ и решение на фото
Приложения:
Вас заинтересует
2 года назад
2 года назад
2 года назад
2 года назад
3 года назад
3 года назад
9 лет назад