• Предмет: Алгебра
  • Автор: Evgenia07061997
  • Вопрос задан 2 года назад

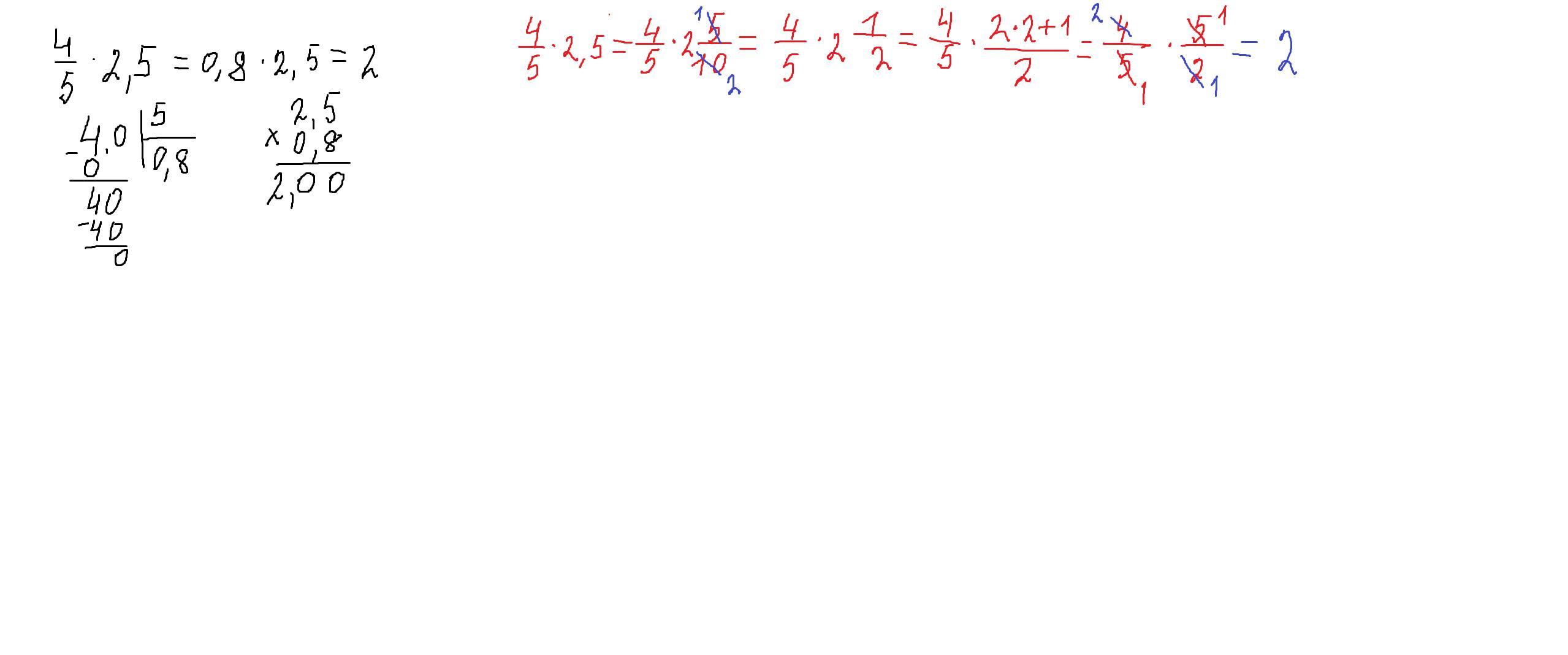
4/5*2,5.помогите решить распишите пожалуйста на листе. Как решали? Почему 4/5 это 0,8? И почему 2,5 это 2 1/2? И почему 0,8*2,5 получается 2? Хотя если считать в столбик то 200 у меня получилось

Ответы

Ответ дал: parus77
0

Ответ:

Объяснение:

можно решить в десятичных дробях,а можно в обыкновенных.внизу сейчас все распишу.если где не понятно-спрашивай.

Приложения:
Ответ дал: TheCleverOlya
0

Ответ:

2

Объяснение:

1) 4/5=(4*2)/(5*2)=8/10=0,8

2)0,8*2,5=2 —смотри прикрепленное фото

Приложения:
Вас заинтересует