• Предмет: Математика
  • Автор: Аноним
  • Вопрос задан 2 года назад

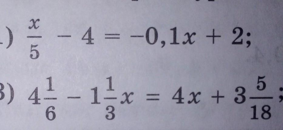
помогите пожалуйста прошу​

Приложения:

Ответы

Ответ дал: dignior
0

Ответ:

2

6

Пошаговое объяснение:

a) х/5+х/10=2+4

3х/10=6

3х=6

х=2

b)25/6-59/18=4х+4х/3

16/18=16/3*х

х=16/3:16/18

х=6

Вас заинтересует