• Предмет: Алгебра
  • Автор: Iliya006
  • Вопрос задан 2 года назад

Помогите, пожалуйста, очень срочно!!!
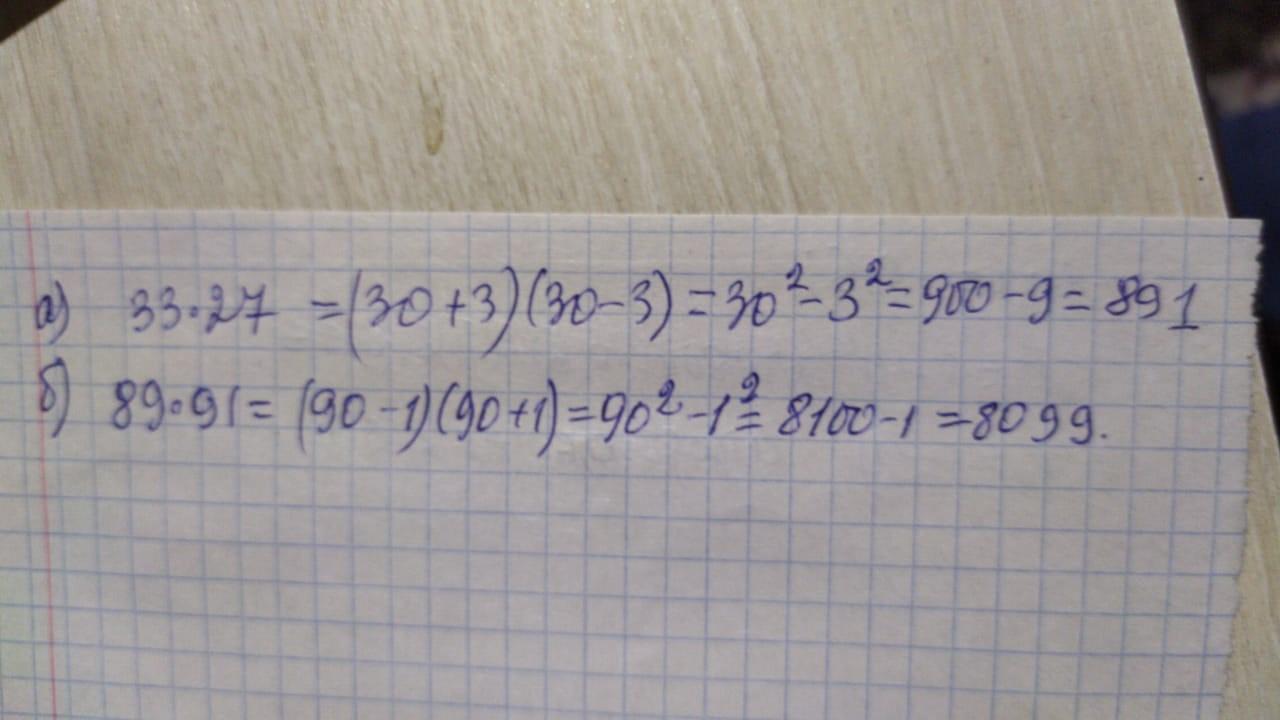
А) 33*27
Б) 89*91
Вычислить при помощи формул сокращенного умножения
Заранее спасибо )

Ответы

Ответ дал: terikovramazan
3

Ответ: приложено

Объяснение:

Приложения:
Ответ дал: Аноним
8

Решение задания приложено

Приложения:
Вас заинтересует