Ответы
Ответ дал:
1
Ответ:-1·2=-2............................
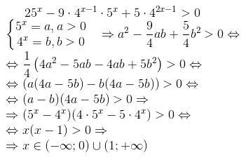
Приложения:

Ответ дал:
0
Вас заинтересует
1 год назад
1 год назад
1 год назад
1 год назад
3 года назад
3 года назад
8 лет назад