Ответы
Ответ дал:
1
Лучше бы формулы сокращённого умножения выучили
Приложения:

lizahey2061:
К сожалению формулировка задания была такой, решение подругому считалось бы ошибкой(
Ответ дал:
1
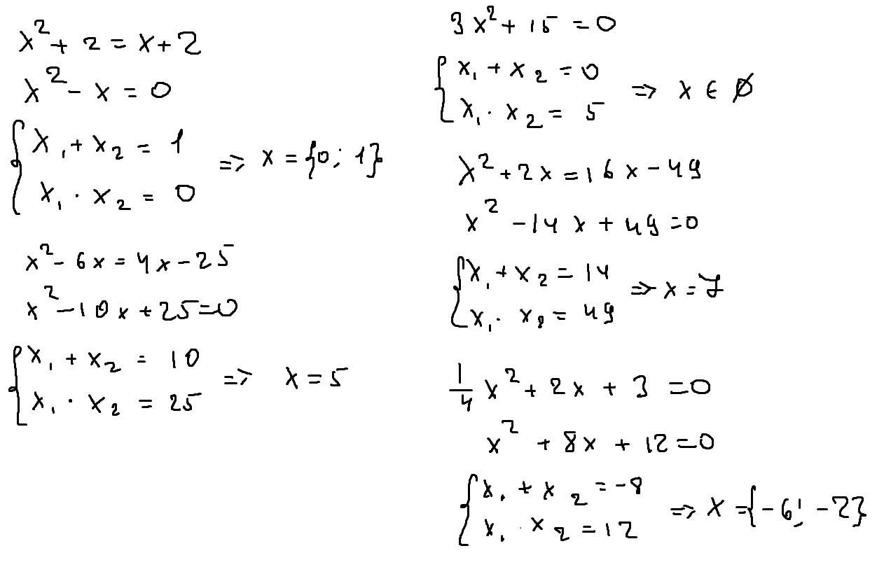
Ответ: во вложении Объяснение:
Применять теорему, обратную теореме Виета, можно лишь при условии неотрицательности дискриминанта.
Приложения:

Вас заинтересует
1 год назад
1 год назад
1 год назад
3 года назад
3 года назад
8 лет назад