• Предмет: Математика
  • Автор: stasik04082007
  • Вопрос задан 2 года назад

3y-12=5-1/4-12 даю 10 баллов кто очень хорошо распишет​

Ответы

Ответ дал: tatsach
0

Ответ:

Пошаговое объяснение:

3y-12=5-1/4-12

3y=12+5-1/4-12

3у=4 3/4

У=4 3/4:3

У=19/4*1/3

У=19/12=1 7/12


tatsach: Условие вообще не понятно, создайте новый вопрос с фото
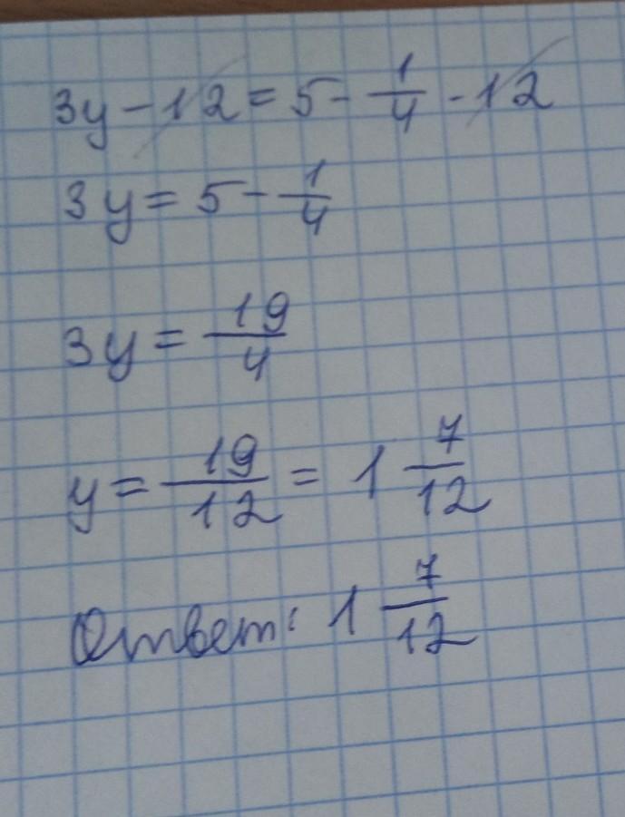
Ответ дал: sliza6798
0

Я на листочке тебе решила.

Приложения:
Вас заинтересует