• Предмет: Алгебра
  • Автор: cesihinav203
  • Вопрос задан 2 года назад


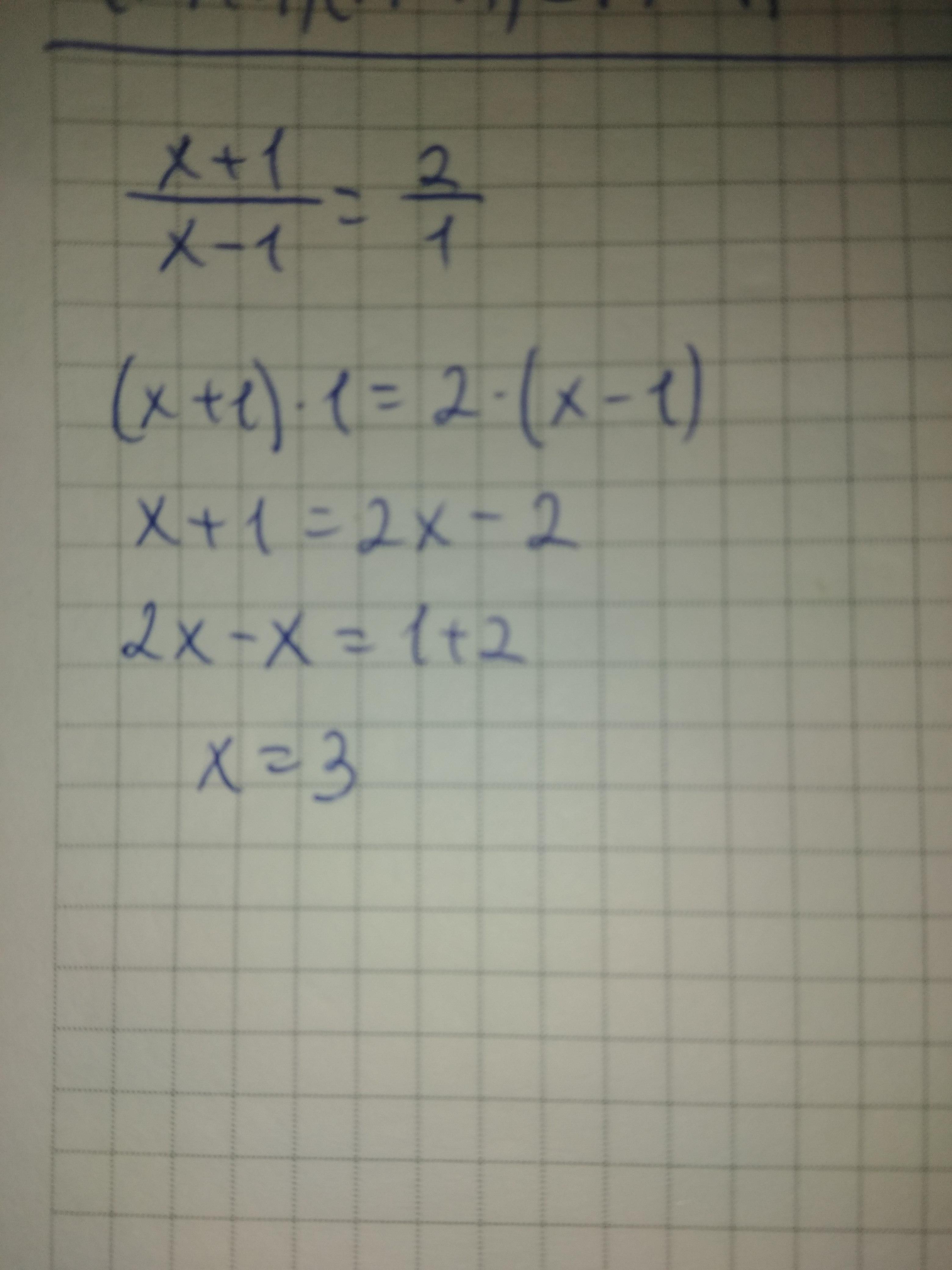
 \frac{x + 1}{x - 1}  = 2
Решить уравнение :​

Ответы

Ответ дал: malikamiryakubova
0

Решение во вложении.

Приложения:

igundane: Надо было написать ,что знаменатель не равен нулю
Ответ дал: igundane
0

\frac{x+1}{x-1}=2\overset{x\neq 1}{\Leftrightarrow }x+1=2(x-1)\Leftrightarrow \\\Leftrightarrow x+1=2x-2\Leftrightarrow x=3

Вас заинтересует