• Предмет: Математика
  • Автор: Аноним
  • Вопрос задан 2 года назад

Помогите пожалуйста!!! Математика 5 класс​

Приложения:

Ответы

Ответ дал: studyprogrammer2019
2

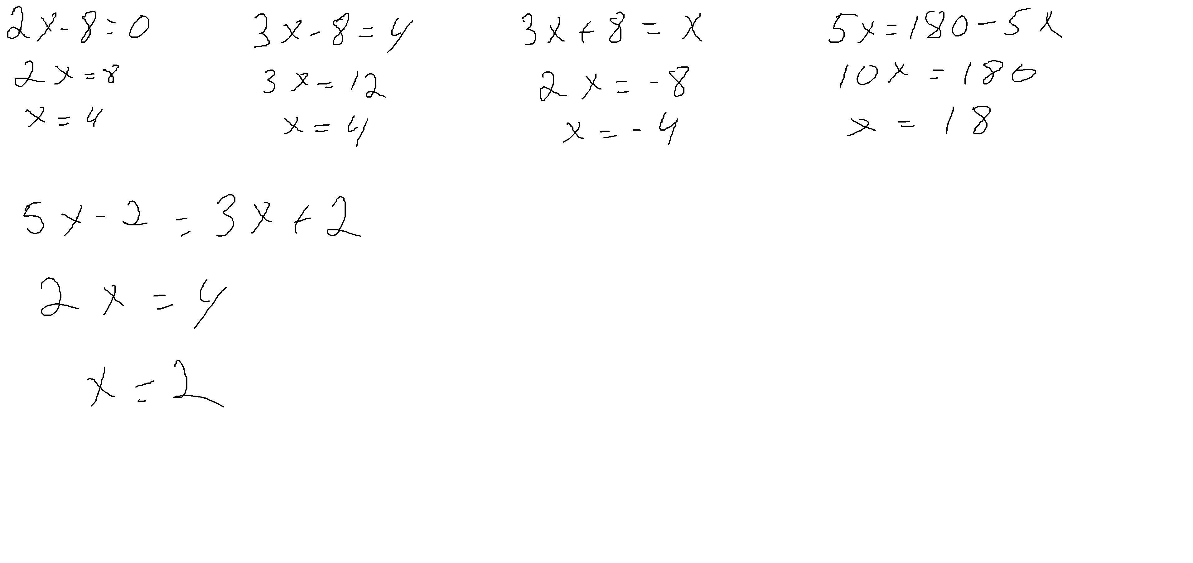
Решение на фото.

Стараюсь быть лучшим для вас!

Приложения:
Ответ дал: juvia1Loxar
2

Ответ:

a) 4

b) 4

c) - 4

d) 18

e) 2

Пошаговое объяснение:

a) 2х - 8 = 0

2х = 8

х = 8 : 2

х = 4

b) 3х - 8 = 4

3х = 8 + 4

3х = 12

х = 12 : 3

х = 4

c) 3х + 8 = х

3х - х = - 8

2х = - 8

х = - 8 : 2

х = - 4

d) 5х = 180 - 5х

5х + 5х = 180

10х = 180

х = 180 : 10

х = 18

e) 5х - 2 = 3х + 2

5х - 3х = 2 + 2

2х = 4

х = 4 : 2

х = 2

Вас заинтересует