• Предмет: Алгебра
  • Автор: ztsallaevf
  • Вопрос задан 2 года назад

Найдите значение производной данной функции в точке x0=0, f(x)=x*cos2x

Приложения:

Ответы

Ответ дал: Universalka
1

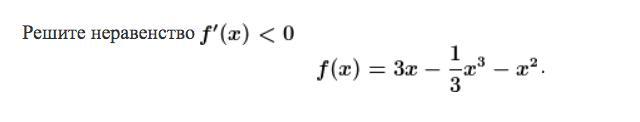
1)f(x)=3x-\frac{1}{3}x^{3}-x^{2}\\\\f'(x)=3(x)'-\frac{1}{3}(x^{3})'-(x^{2})'=3-\frac{1}{3}*3x^{2}-2x=3-x^{2}-2x\\\\f'(x)<0\Rightarrow -x^{2}-2x+3<0\\\\x^{2}+2x-3>0\\\\(x-1)(x+3)>0

       +                  -                    +

________₀_________₀_________

               - 3                   1

/////////////////                    ////////////////////

Ответ : x ∈ (- ∞ ; - 3) ∪ (1 ; + ∞)

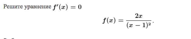
2)f(x)=\frac{2x}{(x-1)^{2} }\\\\f'(x)=\frac{2(x)'*(x-1)^{2}-2x*((x-1)^{2})'}{(x-1)^{4}}=\frac{2*(x^{2}-2x+1)-2x*2(x-1)}{(x-1)^{4}}=\frac{2x^{2}-4x+2-4x^{2}+4x}{(x-1)^{4}}=\frac{-2x^{2}+2 }{(x-1)^{4}}=\frac{-2(x^{2}-1)}{(x-1)x^{4}}\\\\f'(x)=0\Rightarrow\\\\\left \{ {{x^{2}-1=0 } \atop {x-1\neq0 }} \right. \\\\\\\left \{ {{(x-1)(x+1)=0} \atop {x\neq1 }} \right. \\\\\\\left \{ {{\left[\begin{array}{ccc}x_{1}=-1 \\x_{2} =1-neyd\end{array}\right } \atop {x\neq1 }} \right. \\\\

Otvet:\boxed{-1}

3)f(x)=x*Cos2x\\\\f'(x)=(x)'*Cos2x+x*(Cos2x)'=1*Cos2x+x*(-2Sin2x)=Cos2x-2xSin2x\\\\f'(0)=Cos0-2*0*Sin0=1-0=1

Вас заинтересует