• Предмет: Математика
  • Автор: Shafigullnaolga
  • Вопрос задан 2 года назад

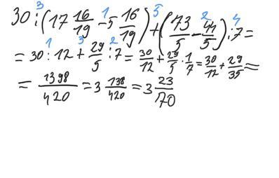
Решить 30:(17 16/19-5 16/19)+(73/5-44/5):7

Ответы

Ответ дал: Карольаски
1

Ответ:

3 23/70

Пошаговое объяснение:

Действие во 2 скобочке, получаем 30:(339/19-111/19)+29/5:7

производим деление: 2.5+29/35=5/2+29/35

Производим сложение:233/70

Преобразуем в смешанную дробь: 3 23/70

Ответ дал: anoNim13414
3
Вот. Надеюсь, все понятно.
Приложения:
Вас заинтересует