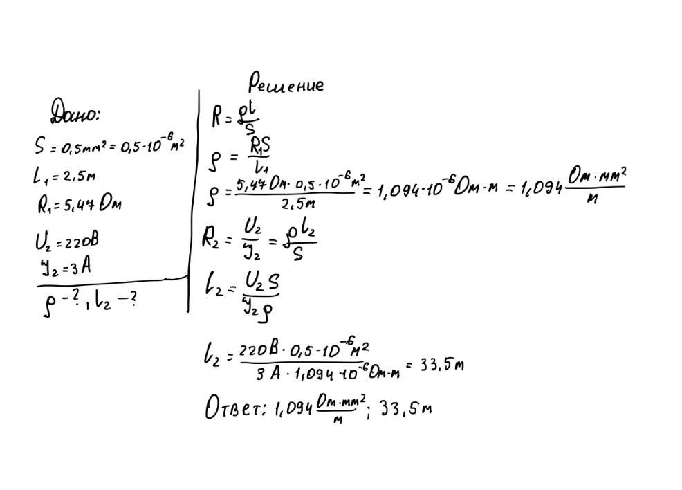
Решите задачу, пожалуйста "Сопротивление проводника из фихраля (дёшевый заменитель нихрома) сечение 0,5 мм² и длиной 2,5 м равно 5,47 Ом. Каково удельное сопротивление фехраля? Сколько метров таково провода потребуется для изготовления электрического нагреватель работающего от сети с напряжением 220В при силе 3 А? ". Задачу с формулами сделайте.
Ответы
Ответ дал:
1
Ответ: 1.094 Ом * мм^2 / м; 33.5 м
Приложения:

chelovekrubik:
Помогите пожалуйста https://znanija.com/task/34008885
Вас заинтересует
1 год назад
1 год назад
1 год назад
1 год назад
3 года назад
8 лет назад