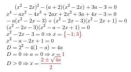
18 БАЛЛОВ!!! покажите шаги решения, как из первый строки получилась вторая (см. фото)
Приложения:

igundane:
Так пусть вальфрам и показывает
Ответы
Ответ дал:
0
Можем видеть ,что a<0 даёт нам отрицательный дискриминант ,то есть комплексные корни
Такой случай не рассматриваем
Приложения:

Вас заинтересует
1 год назад
1 год назад
3 года назад
3 года назад
8 лет назад