• Предмет: Математика
  • Автор: Аноним
  • Вопрос задан 2 года назад

HELP пжж. буду Благодарна)​

Приложения:

Ответы

Ответ дал: AiMus
1

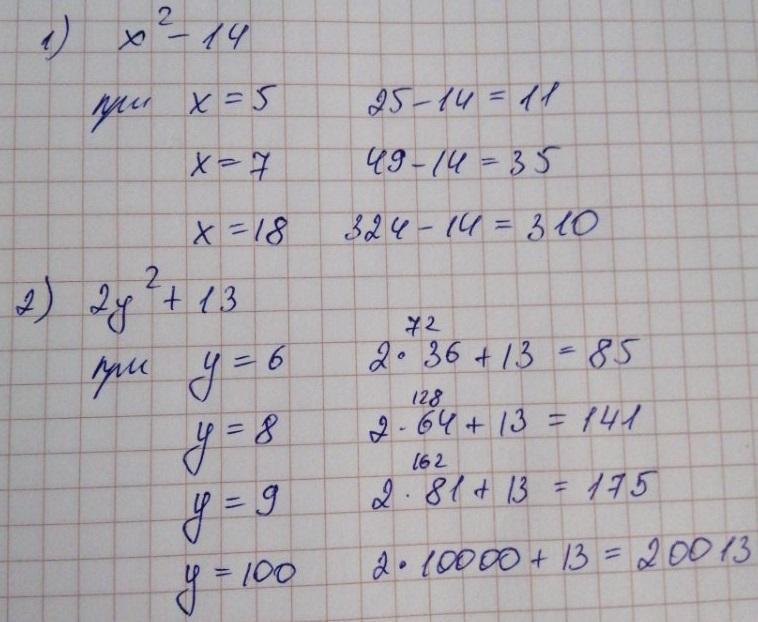
Ответ:

1) 11, 35, 100

2) 85, 141, 175, 20013

Пошаговое объяснение:

Приложения:
Вас заинтересует