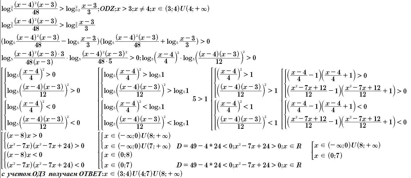
Даю 100 баллов! Помогите решить неравенство, пожалуйста!
Правильный ответ: (3;4) U (4;7) U (8;+бесконечность)
У меня получилось (3;4) U (4;8) U (8;+бесконечность). Откуда 7-ка - не пойму...
Приложения:

Simba2017:
зря ответ сразу даете
Ответы
Ответ дал:
0
Ответ:
Объяснение:
-----------------------------------------
Приложения:


Вас заинтересует
1 год назад
1 год назад
1 год назад
1 год назад
3 года назад
8 лет назад