Ответы
Ответ дал:
1
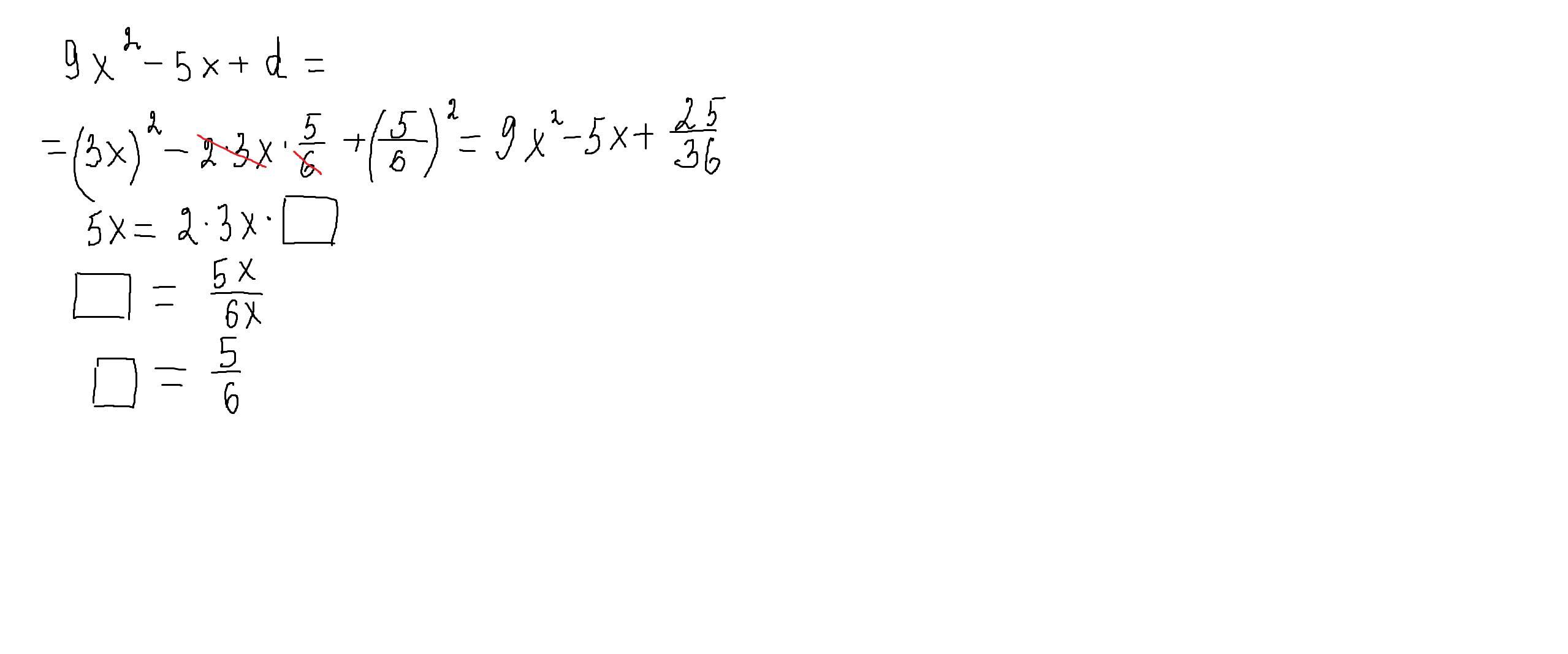
Ответ:
d=25\36
Объяснение:
решение смотри внизу
Приложения:

Вас заинтересует
1 год назад
1 год назад
1 год назад
3 года назад
3 года назад
8 лет назад
8 лет назад