• Предмет: Математика
  • Автор: istamulowamalika
  • Вопрос задан 2 года назад

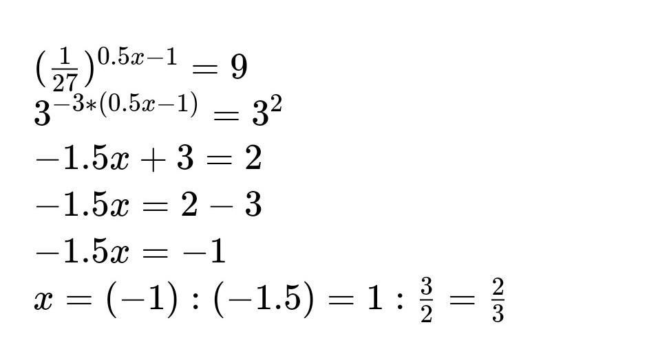
Помогите решить уравнение
(1/27)^0,5x-1=9


lgdjfz: Сочинение на тему: "Новогодние каникулы"
lgdjfz: Помоги пожалуйста

Ответы

Ответ дал: alejnikdima369
1

Пошаговое объяснение:

Поставьте пожалуйста лутший ответ

Приложения:
Вас заинтересует