• Предмет: Математика
  • Автор: klarkkent561
  • Вопрос задан 2 года назад

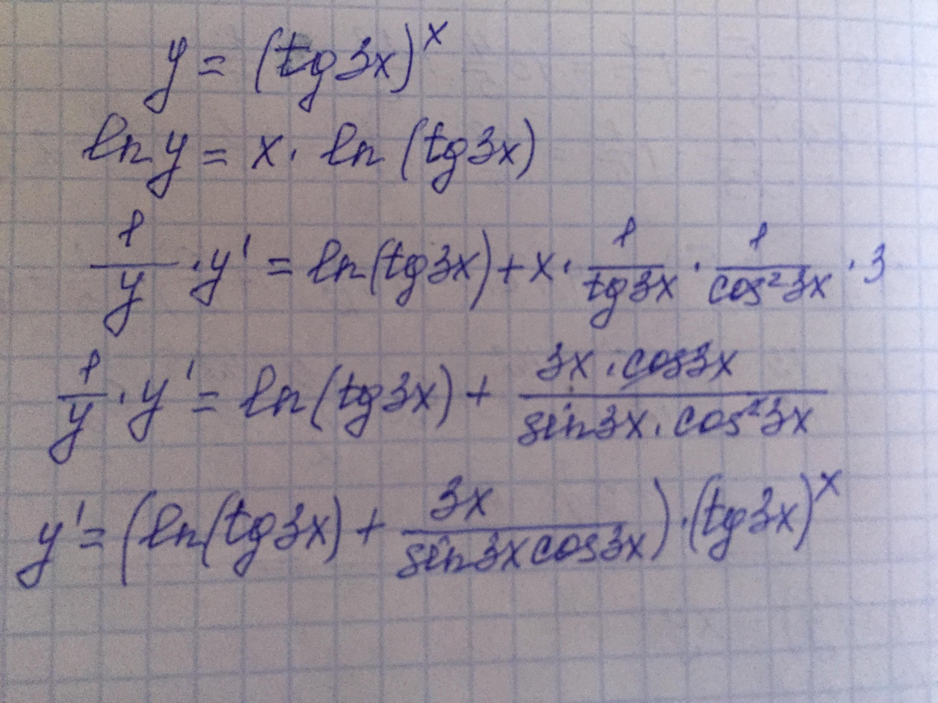
Найти производную функции y= (tg3x)^x

Ответы

Ответ дал: natalyabryukhova
0

Ответ:

===========================

Пошаговое объяснение:

Приложения:
Вас заинтересует
9 лет назад