ПОМОГИТЕ! сколько граммов воды и фосфата калия необходимо взять чтобы приготовить 67г 45% раствора
Ответы
Ответ дал:
1
Ответ:
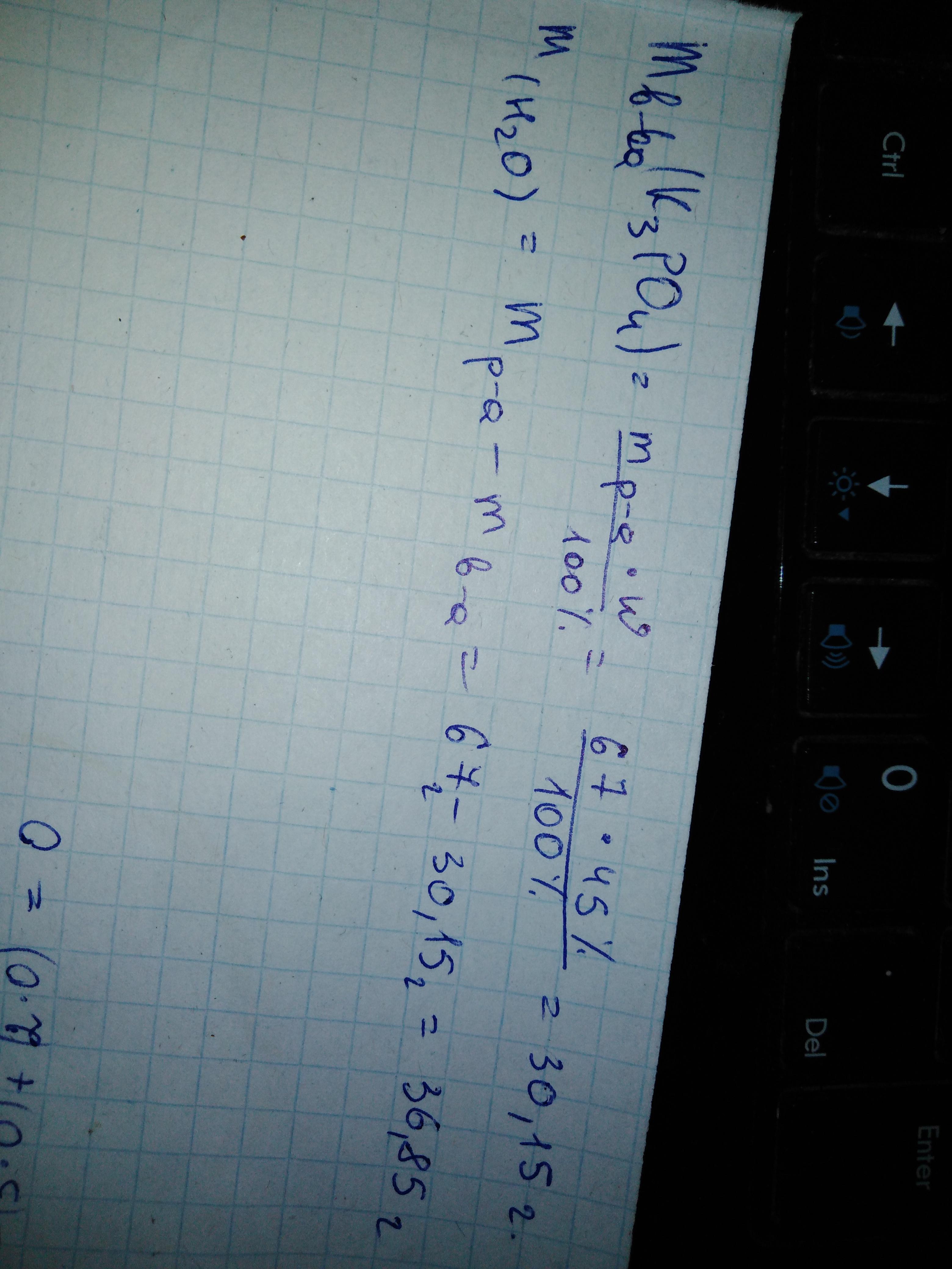
Наверное такое решение.
Объяснение:
Приложения:
Вас заинтересует
2 года назад
2 года назад
2 года назад
3 года назад
3 года назад
9 лет назад
9 лет назад