ПОМОГИТЕ ПЖ ПО АЛГЕБРЕ
Приложения:

Аноним:
могу сделать ВСЕ задания из этого теста
Ответы
Ответ дал:
1
Ответ:
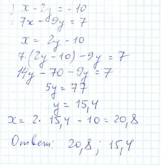
решил методом подстановки
Объяснение:
Приложения:

Ответ дал:
1
Вот, держи!Проверка нужна?
Приложения:

77:5=15,4
Вас заинтересует
1 год назад
1 год назад
1 год назад
3 года назад
3 года назад
8 лет назад