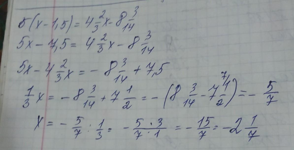
Найдите корни уравнения 3) 5(х-1,5)=4 2/3х-8 3/14 ПОЖАЛУЙСТА ПОЖАЛУЙСТА ПОЖАЛУЙСТА ПОЖАЛУЙСТА ПОЖАЛУЙСТА ПОЖАЛУЙСТА ПОЖАЛУЙСТА ПОЖАЛУЙСТА ПОЖАЛУЙСТА ПОЖАЛУЙСТА ПОЖАЛУЙСТА ПОЖАЛУЙСТА ПОЖАЛУЙСТА ПОЖАЛУЙСТА ПОЖАЛУЙСТА
Приложения:

murtazalievasabila75:
ПОЖАЛУЙСТА ПОЖАЛУЙСТА помогите разобраться
Ответы
Ответ дал:
5
Пошаговое объяснение:
надеюсь понятно написала
Приложения:


Вас заинтересует
1 год назад
1 год назад
1 год назад
1 год назад
3 года назад
3 года назад
8 лет назад