Опытные данные сведены в таблицу значений переменных x_i и y_i. построить точки(x_i и y_i) в системе координат Oxy. Подобрать формулу эмпирической зависимости между x и y. Найти по методу наименьших квадратов параметры этой зависимости.Оценить среднеквадратичную погрешность. Построить график эмпирической зависимости.
Пожалуйста с подробным решением.
Приложения:

Ответы
Ответ дал:
0
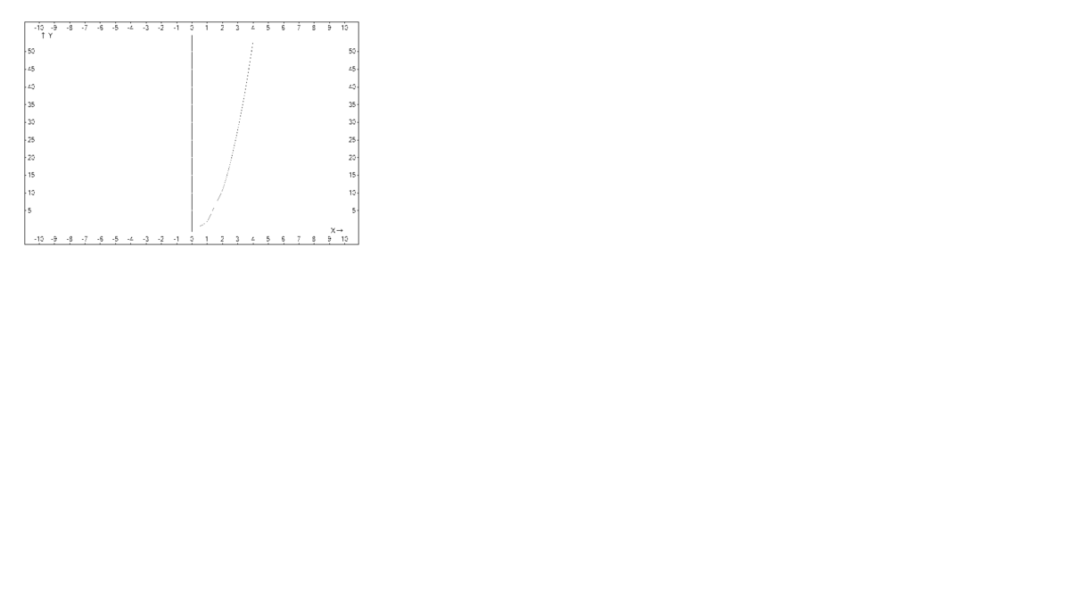
1)Подобрать формулу эмпирической зависимости между x и y. Для начало по точкам не плохо было бы построить , если построить график то будет что то половины параболы , то есть ее правый кусок симметрично расположенный по оси ОУ .(см график)
Теперь ограничим наш поиск нахождение зависимости , возможные варианты для меня (как я вижу) это:
1) Обратная функция ввида
, только ее симметричная часть расположенная 3 четверти отбрасывается
2) Экспоненциальная ввида
По первому пункту сложность заключается в том что мы должны как можно наименьшие коэффициенты подобрать, но так как нам не говорят как точно будет выглядит сама функция , то есть ее некая параметрическая формула, то мы лишь можем ограничиться погрешностью от какой та прямой аппроксимируема равная данной кривой.Я провел эксперименты по алгоритму (ПО МЕТОДУ НАИМЕНЬШИХ КВАДРАТОВ ДЛЯ ЛИНЕЙНОЙ ФУНКЦИЙ)

Но она далеко не идеальная, по сравнению с экспонентой
я проверил больше всего подходит y=e^x
P.S (обычно в такие задачи излогают ввиде найти эмпирическую функцию ввида y=Ax+B, или еще что нибудь)
Теперь ограничим наш поиск нахождение зависимости , возможные варианты для меня (как я вижу) это:
1) Обратная функция ввида
2) Экспоненциальная ввида
По первому пункту сложность заключается в том что мы должны как можно наименьшие коэффициенты подобрать, но так как нам не говорят как точно будет выглядит сама функция , то есть ее некая параметрическая формула, то мы лишь можем ограничиться погрешностью от какой та прямой аппроксимируема равная данной кривой.Я провел эксперименты по алгоритму (ПО МЕТОДУ НАИМЕНЬШИХ КВАДРАТОВ ДЛЯ ЛИНЕЙНОЙ ФУНКЦИЙ)
Но она далеко не идеальная, по сравнению с экспонентой
я проверил больше всего подходит y=e^x
P.S (обычно в такие задачи излогают ввиде найти эмпирическую функцию ввида y=Ax+B, или еще что нибудь)
Приложения:

Вас заинтересует
2 года назад
2 года назад
10 лет назад
10 лет назад
10 лет назад