Найдите производные функций пожалуйста
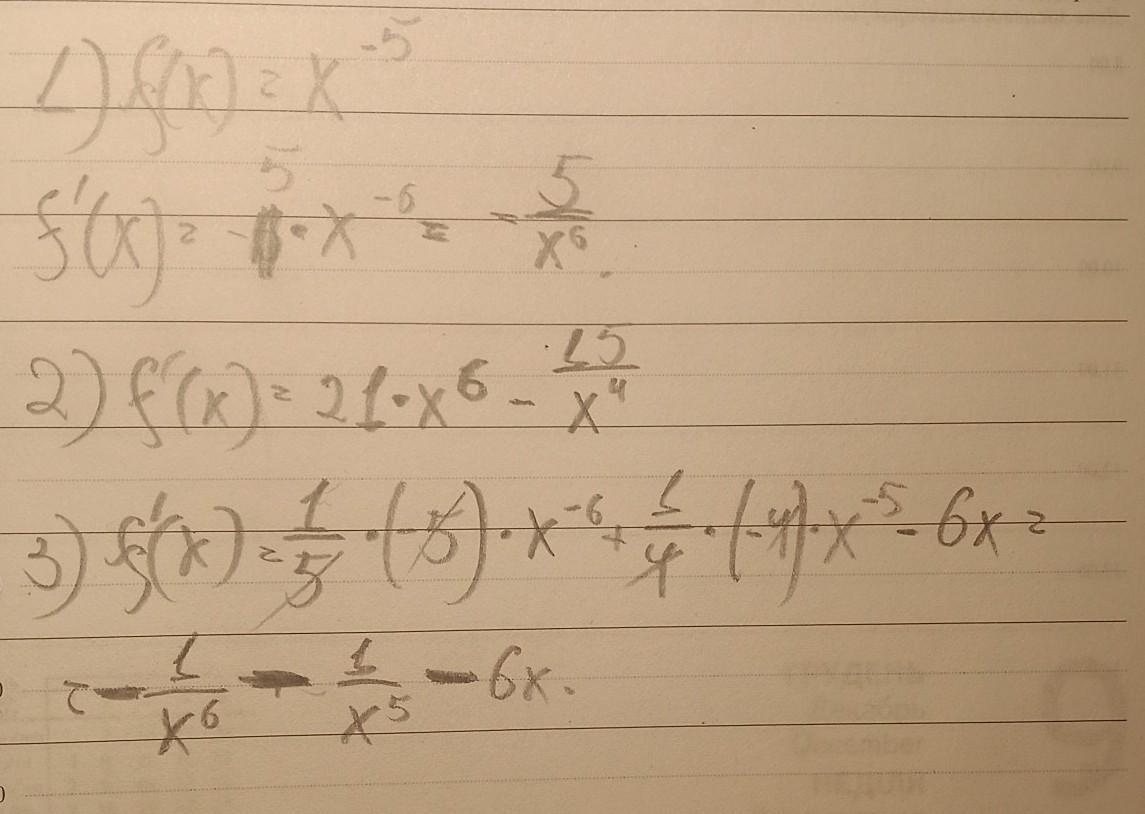
1. f(x)=x^-5
2. f(x)=3x^7-5/x^3
3. y= 1/5x^5 + 1/4x^4-3x^2+9
Ответы
Ответ дал:
0
Ответ:
f(x) = x^n ; f'(x) = n*x^(n-1)
Приложения:

Вас заинтересует
1 год назад
1 год назад
1 год назад
3 года назад
3 года назад
8 лет назад