• Предмет: Геометрия
  • Автор: alwwlwllslwlwl
  • Вопрос задан 2 года назад

ОТДАМ 25 БАЛЛОВ
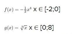
Начертите 2 графика функций y = f(x) и y = g(x), установите наибольшее и наименьшее значение в интервале.

Приложения:

Ответы

Ответ дал: Julia068
1

Ответ:

Ответ смотри на фото.@@@

Приложения:
Вас заинтересует