• Предмет: Алгебра
  • Автор: Аноним
  • Вопрос задан 11 лет назад

помогите срочно:333333333333333333333333333

Приложения:

Ответы

Ответ дал: kage1998
0
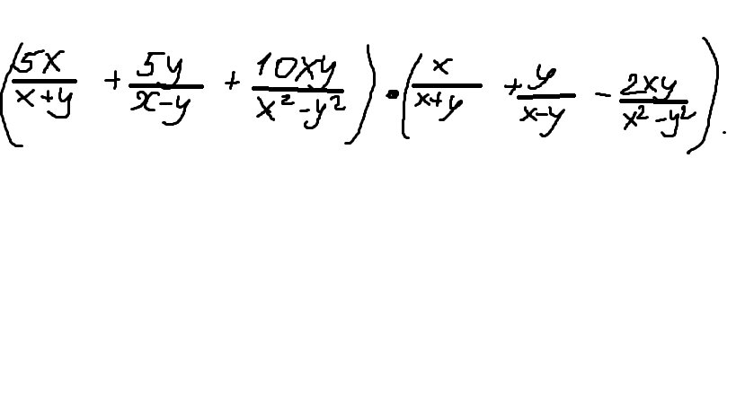
(5x)/(x+y)+(5y)/(x-y)+(10xy)/(x^2-y^2)=
(5x^2-5xy+5xy+5y^2)/(x^2-y^2)+(10xy)/(x^2-y^2)=
(5x^2+5y^2+10xy)/(x^2-y^2)
x/(x+y)+y/(x-y)-2xy/(x^2-y^2)=(x^2-xy+xy+y^2-2xy)/(x^2-y^2)=(x^2-2xy+y^2)/(x^2-y^2)=
(x-y)^2/((x-y)*(x+y))=(x-y)/(x+y)
((5x^2+5y^2+10xy)/(x^2-y^2))*((x-y)/(x+y))=
(5*(x^2+2xy+y^2)*(x-y))/((x-y)*(x+y)*(x+y))=(5*(x+y)^2*(x-y))/((x+y)^2*(x-y))=5
Ответ дал: Аноним
0
( frac{5x}{x+y} + frac{5y}{x-y} + frac{10xy}{x^2-y^2})*( frac{x}{x+y}+ frac{y}{x-y} - frac{2xy}{x^2-y^2)} =5
1 действие.
frac{5x}{x+y} + frac{5y}{x-y} + frac{10xy}{x^2-y^2}= frac{5x(x-y)+5y(x+y)+10xy}{x^2-y^2} =  frac{5x^2-5xy+5xy+5y^2+10xy}{x^2y^2} = frac{5(x^2+y^2+2xy)}{x^2-y^2} = frac{5(x+y)^2}{(x-y)(x+y)}= frac{5(x+y)}{x-y}
2 действие.
frac{x}{x+y}+ frac{y}{x-y} - frac{2xy}{x^2-y^2}=  frac{x(x-y)+y(x+y)-2xy}{x^2-y^2}= frac{x^2-xy+xy+y^2-2xy}{x^2-y^2} = frac{(x-y)^2}{(x-y)(x+y)} = frac{x-y}{x+y}
3 действие.
 frac{5(x+y)}{x-y} * frac{(x-y)}{x+y} =5
Ответ:5.
=======
Удачи!:)
Вас заинтересует