• Предмет: Математика
  • Автор: nonikya
  • Вопрос задан 10 лет назад

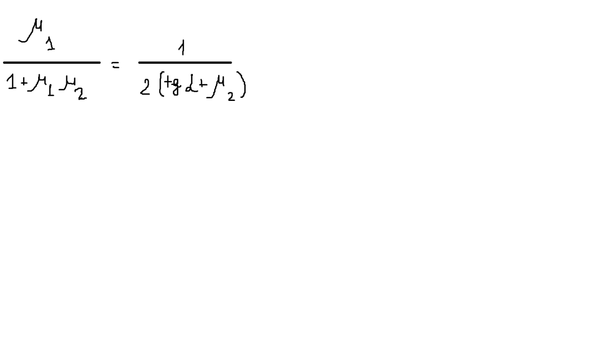
Выразить тангенс из данной формулы

Приложения:

Ответы

Ответ дал: Лотарингская
0
tg=(1-мю1*мю2)/(2*мю1)
Вас заинтересует