• Предмет: Алгебра
  • Автор: maksimflick
  • Вопрос задан 2 года назад

помогите пожалуйста решить дам 20 баллов

Приложения:

Ответы

Ответ дал: 25hjoerf10
0

Ответ:

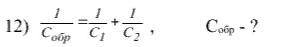
C_{obr}=\frac{C_{1}*C_{2} }{C_{2}+C_{1}}

Объяснение:

\frac{1}{C_{obr} } =\frac{1}{C_{1} } +\frac{1}{C_{2} } \\\\\left(\frac{1}{C_{obr} }\right)*C_{obr} C_{1}C_{2}}=\left(\frac{1}{C_{1}}\right)*C_{obr} C_{1}C_{2}}+\left(\frac{1}{C_{2} }\right)*C_{obr} C_{1}C_{2}}

C_{1}C_{2} =C_{obr} C_{2}+C_{obr} C_{1}\\C_{1}C_{2} =C_{obr} *(C_{1}+C_{2})\\\\C_{obr}=\frac{C_{1}C_{2} }{C_{1}+C_{2}}

Вас заинтересует