Не извлекая квадратного корня,определите,которое из чисел больше: а) 2корень3 или 3корень2; б) 3корень5 или 4корень3; в) 5корень7 или 7корень5; г) 2корень5 или 4корень2
Ответы
Ответ дал:
1
Ответ:
больше здесь 7 под корнем 5
Приложения:

Ответ дал:
1
Ответ:
Объяснение:
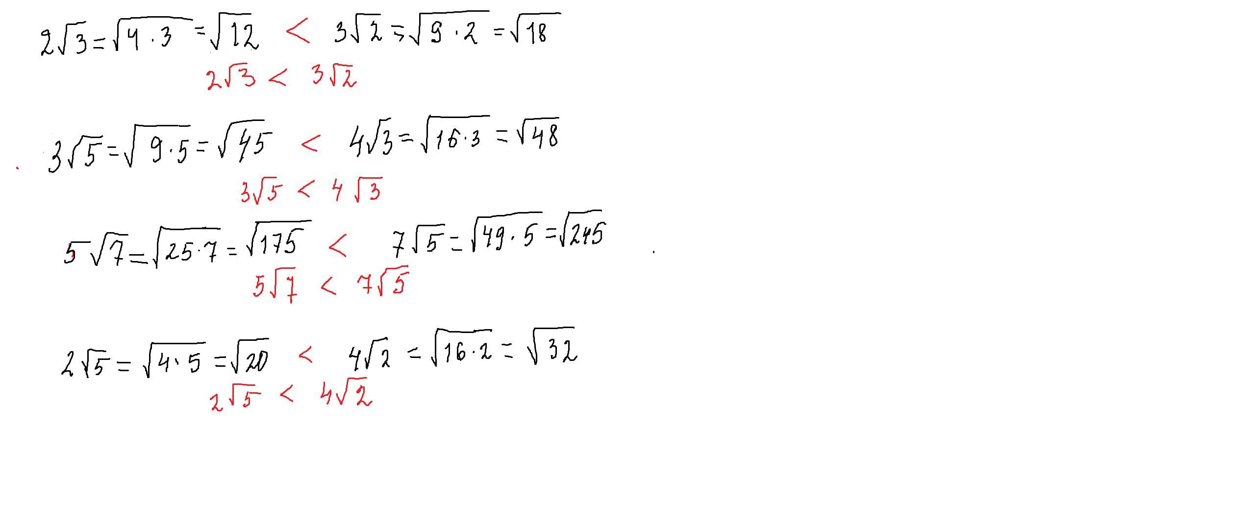
мы будем возводить в квадрат число,которое стоит перед знаком корня,и потом внесем его под знак корня и выполним умножение.потом можем сравнить числа,которые стоят под знаком корня
Приложения:

Вас заинтересует
1 год назад
1 год назад
1 год назад
3 года назад
8 лет назад