• Предмет: Алгебра
  • Автор: Chsd
  • Вопрос задан 2 года назад

Решите пожалуйста номер 5 и 6❤️

Приложения:

Ответы

Ответ дал: Oversizeload
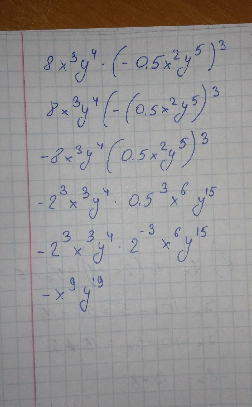
1

5: -x^9y^19

6:

а) утверждение ложно

б) x= 4

в) x= -2.5

Приложения:
Ответ дал: azaryank738
1

Всё в фотографии прикрепила , Обязательно посмотри , если понравится пожалуйста оцени !!!

Очень старалась

Приложения:
Вас заинтересует