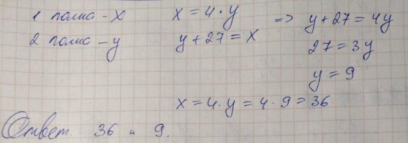
на 1 полке было в 4 раза больше, чем на 2. после того, как на 2-ую полку переставили с верхней 27 книг, на полках стало поровну книг. сколько книг было изначально на полках?
Ответы
Ответ дал:
1
Ответ:
36 и 9
Объяснение:
Приложения:

AiMus:
Добро, ещё бы оценку
Вас заинтересует
1 год назад
1 год назад
1 год назад
3 года назад