Составить уравнение прямой A'B' симметричной прямой AB относительно точки C. И нужен чертеж. А(-1;-4), B(-11;-9), C(-7;-1), M1(-7;-4), M2(-11;-6).
Ответы
Ответ дал:
1
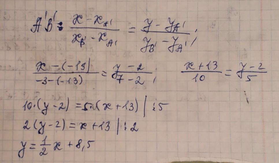
Ответ:
у=(х/2)+8,5
Пошаговое объяснение:
решение во вложении
Приложения:


Вас заинтересует
1 год назад
1 год назад
3 года назад
8 лет назад
8 лет назад