• Предмет: Математика
  • Автор: artmusal523
  • Вопрос задан 2 года назад

Помогите решить уравнения пожалуйста

Приложения:

Ответы

Ответ дал: MinYoonki
0

Пошаговое объяснение:

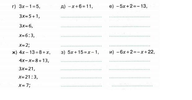
д) -х+6=11

-х=11-6

-х=5

х=-5

е) -5х+2=-13

-5х=-13-2

-5х=-15

х=-15/-5

х=3

з) 5х+15=х-1

5х-х=-1-15

4х=-16

х=-16/4

х=-4

и)-6х+2=-х+22

-6х+х=22-2

-5х=20

х=20/-5

х=-4

Ответ дал: alibalayevmi
0

Пошаговое объяснение:д)-х+6=11

-х=11-6

-х=5

Х=-5

Е)-5х+2=-13

2+13=5х

15=5х

Х= 3

З)5х+15=х-1

5х-х= -1-15

4х=-16

Х= -4

И) -6х+2=-х+22

2-22= -х+6х

-20=5х

Х=-5

Вас заинтересует