• Предмет: Математика
  • Автор: artmusal523
  • Вопрос задан 2 года назад

Помогите пожалуйста решить уравнения Срочно

Приложения:

Ответы

Ответ дал: diyas200746
0

Ответ:

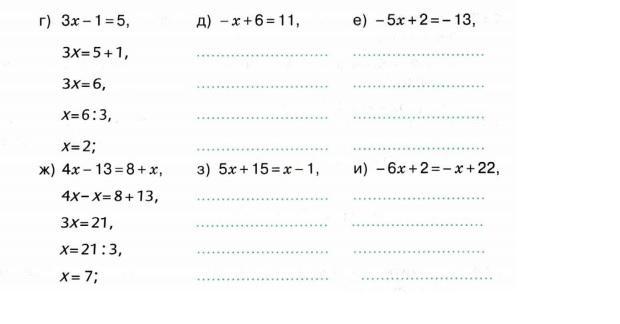
д)x = 11-5

-x=5

x=5:(-1)

x=-5

Ответ дал: Zolotukhiiin
1

д) -х+6=11

    -x=5

     x=-5

з) 5х + 15 = х - 1

   4х = -16

    х = -4

е) -5х + 2 = -13

    -5х = -15

      х = 3

и) -6х + 2 = -х + 22

    -5х = 20

      х = -4

Вас заинтересует