Пожалуйста!
Нужно вычислить в паскаль! Очень прошу! Мне для примера, хоть одного вычисления будет достаточно!
Приложения:

Ответы
Ответ дал:
0
Ответ:
Думаю ето поможет вам как то
Приложения:

BobbyFresnel:
Написано же: "Нужно вычислить в паскаль! ". Причем тут алгебра?
Ответ дал:
0
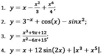
Вот три первых вычисления
===== PascalABC.NET =====
begin
var x := ReadReal;
var y := x - Sqr(x) / 3 + x ** 6 / 4;
Println(y);
y := 3 ** (-x) + Cos(x) - Sin(x * x);
Println(y);
y := (x ** 3 + 9 * x + 12) / (x * x - 6 * x + 15);
Println(y);
end.
Вас заинтересует
1 год назад
1 год назад
1 год назад
1 год назад
3 года назад
3 года назад
8 лет назад