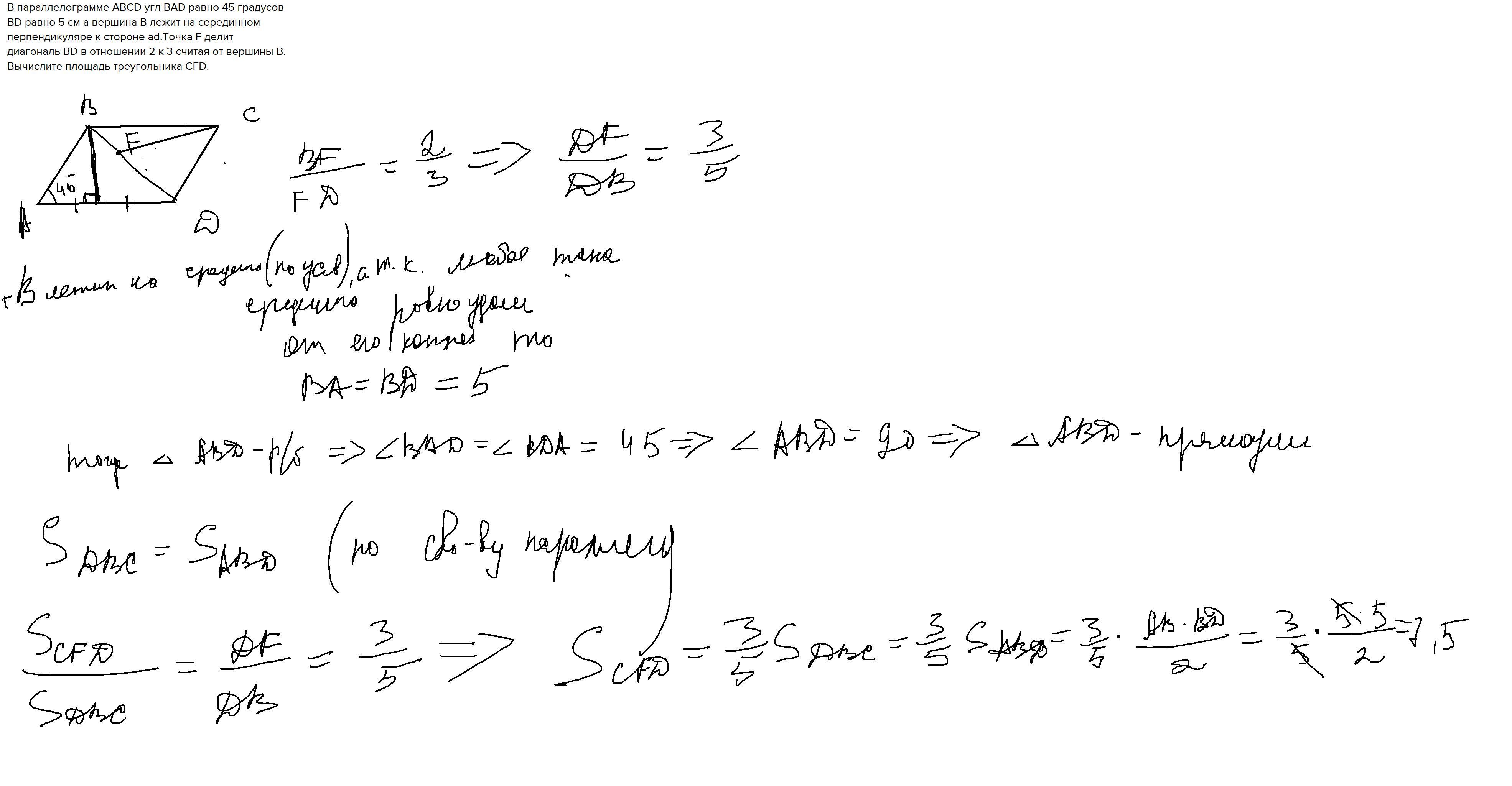
в параллелограмме ABCD угл BAD равно 45 градусов BD равно 5 см а вершина B лежит на серединном перпендикуляре к стороне ad.Точка F делит диагональ BD в отношении 2 к 3 считая от вершины B. Вычислите площадь треугольника CFD. 
Ответы
                                            Ответ дал: 
                                                                                    
                                        
                                            
                                                
                                                
                                                
                                                    1
                                                
                                            
                                        
                                    Ответ:
Объяснение:в параллелограмме ABCD угл BAD равно 45 градусов BD
Приложения:
                    
                            Вас заинтересует
                
                        1 год назад
                    
                
                        1 год назад
                    
                
                        1 год назад
                    
                
                        1 год назад
                    
                
                        3 года назад
                    
                
                        8 лет назад