• Предмет: Алгебра
  • Автор: pozitivgg
  • Вопрос задан 2 года назад

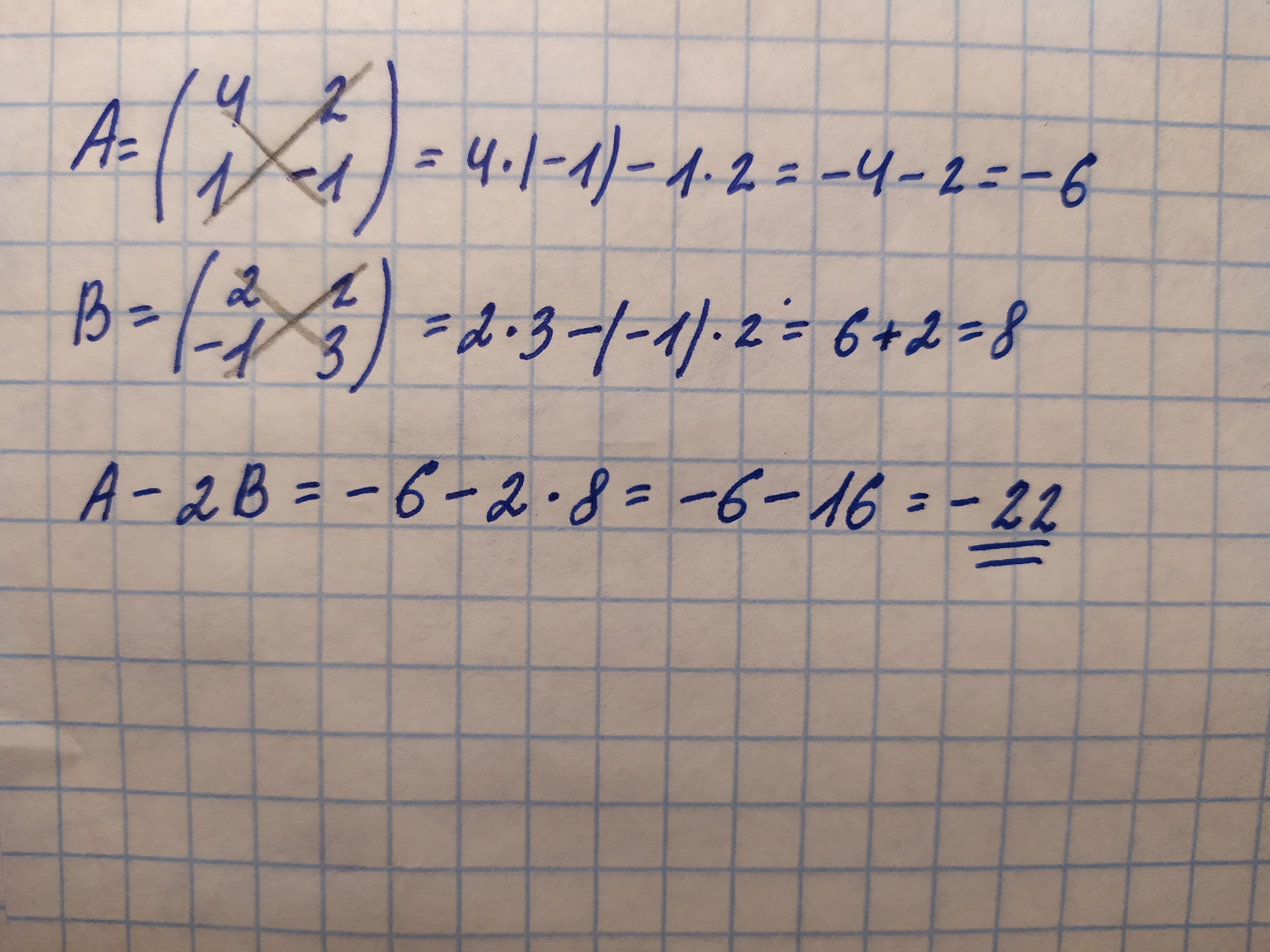
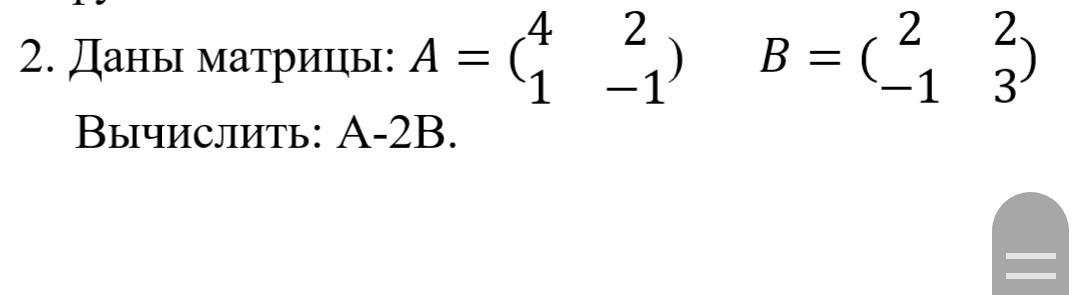
Даны матрицы:
А=
(4 2)
1 -1
В=
(2 2)
-1 3
Вычислить: А-2В
Помогите

Приложения:

Ответы

Ответ дал: holmskaja
1

Думаю так:

_______________

Приложения:
Вас заинтересует