• Предмет: Алгебра
  • Автор: ayurcyren93
  • Вопрос задан 2 года назад

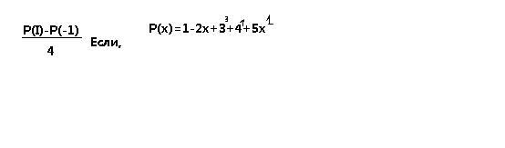
Помогите пожалуйста там в фото 3х (в кубе)... 4х (в 1) 5х (в 1)

Приложения:

Ответы

Ответ дал: StDoctor
0

Ответ:

5

Объяснение:

P(1) = 1-2+3+4+5=11

P(-1) = 1+2-3-4-5=9

(11-(-9))/4=20/4=5

Вас заинтересует