Помогите ,пожалуйста(
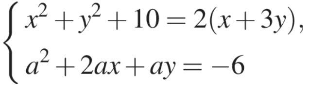
Найдите все значения a, при каждом из которых система имеет решения
Приложения:
Ответы
Ответ дал:
1
Ответ: a = -3, a = -2.
Объяснение:
Приложения:
Вас заинтересует
2 года назад
2 года назад
2 года назад
2 года назад
3 года назад
3 года назад
9 лет назад