• Предмет: Математика
  • Автор: aaaaaaaaaaaassssaaaa
  • Вопрос задан 2 года назад

Даю 10 баллов помогите

Приложения:

Ответы

Ответ дал: dinara200522
0

Ответ:

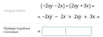
-2xy+2xy-2x+3x=х

Пошаговое объяснение:


dinara200522: подобные это те которые почти схожиие друг на друга кароче написав подобные все эти сокращаются а ответ выйдет просто х
aaaaaaaaaaaassssaaaa: Икс в пустой строке написать
dinara200522: сначала пишеш подобные потом ставишь знак равно а потом х
aaaaaaaaaaaassssaaaa: Аакие подобные випиши
dinara200522: -2xy+2xy-2x+3x=х
dinara200522: всё точно так напиши
aaaaaaaaaaaassssaaaa: Стой там равно нельзя написать а как ответить
dinara200522: там же написано на рисунке
dinara200522: без равно не обайдешся
dinara200522: это ты на компьютере да?
Вас заинтересует