• Предмет: Геометрия
  • Автор: nasi
  • Вопрос задан 2 года назад

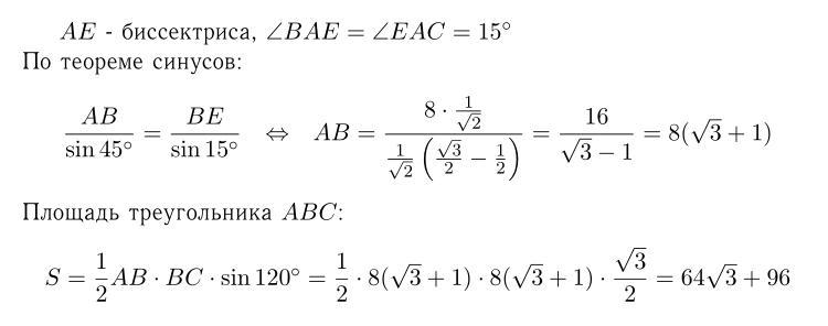
В треугольнике АВС АВ = ВС, ∠САВ = 30°, АЕ — биссектриса, BE = 8 см. Найдите площадь треугольника АВС.
ответ должен 75,5 см


nasi: Да точно такой
Simba2017: ну там ответ очень большой будет
Simba2017: угол А =30, не В?
nasi: не ,угол а
Simba2017: AB у вас сколько вышло?
nasi: 30/син а* 8/корень 3 /2
nasi: равно 15 корень 3:8
Simba2017: AB/sin45=8/sin15
Simba2017: AB=8*sin45/sin15
Simba2017: выводя все это получится AB=16/(V3-1)-это очень большое число

Ответы

Ответ дал: Аноним
1

Ответ:

ответ правда не 75,5 см²

Объяснение:

Приложения:

Simba2017: у меня такой же вышел, но в задаче указан другой-наверное все же что-то там не так...
Аноним: я тоже думаю что это для растерянности)
Вас заинтересует