• Предмет: Математика
  • Автор: illidan197
  • Вопрос задан 2 года назад

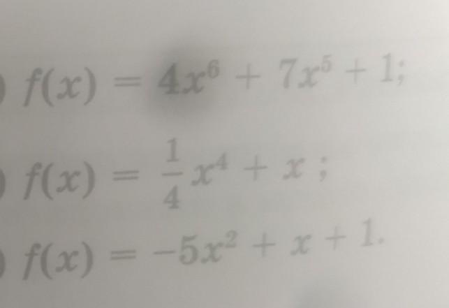
найдите производную функцию​

Приложения:

Ответы

Ответ дал: red310780
1

1)

f(x) = 24 {x}^{5}  + 35 {x}^{4}

2)

f(x) =  {x}^{3}  + 1

3)

f(x) =  - 10x + 1

Вместо f(x) пишите f'(x)


illidan197: у меня в профиле ещё второе такое задание, помоги!!!
red310780: Можете ссылку скинуть
Вас заинтересует