• Предмет: Алгебра
  • Автор: qwertywat
  • Вопрос задан 2 года назад

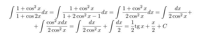
найти интеграл
 \frac{1 +   { \cos(x) }^{2} }{1 +  \cos(2x) } dx

Ответы

Ответ дал: Аноним
1

Ответ:

(на картинке)

Объяснение:

Приложения:

Аноним: Сейчас исправлю
Аноним: Исправлено
qwertywat: большое спасибо!
Вас заинтересует