• Предмет: Геометрия
  • Автор: 6807655b
  • Вопрос задан 2 года назад

Помогите пожалуйста срочно надо

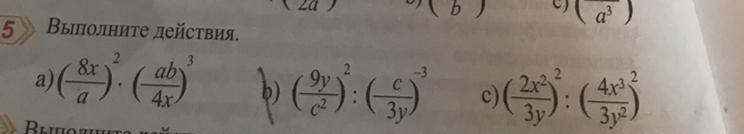
Приложения:

Ответы

Ответ дал: dehtiarovaanna
0

Ответ:

ab³/x

Объяснение:

Возводим обе дроби в степень при умножении 64 сокращается и получаем результат


dehtiarovaanna: я сделала
6807655b: Я что-то твой вопрос не могу найти
6807655b: А ты знаешь куда надо зайти чтобы найти вопрос?
6807655b: Слушай а у тебя есть соц сети? Я тебя добавлю куда нибудь ты мне скинешь задание и всё
dehtiarovaanna: нет, соц-четей нет
dehtiarovaanna: просто нажми на мою иконку
6807655b: А что на что умножать степени на что сократим да?
dehtiarovaanna: корочн
dehtiarovaanna: ты дроби возводить в степень чеслитель и знаменатель
6807655b: 4х и 8х я правильно понимаю?
Вас заинтересует