• Предмет: Алгебра
  • Автор: nikitapostnikov06
  • Вопрос задан 2 года назад

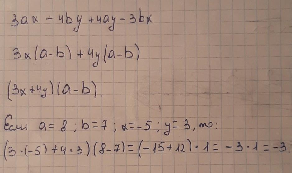
Разложиье на множители выражение 3ax-4by+4ay-3bx и найдите его значение при a=8 b=7 x=-5 y=3

Ответы

Ответ дал: TapkomVGlaz
1

Ответ:

Лови решение ) ........

Приложения:
Ответ дал: darkus134
0

Объяснение:

3*8*(-5)-4*7*3+4*8*3-3*7*(-5)=-3

Вас заинтересует