СРОООЧНО
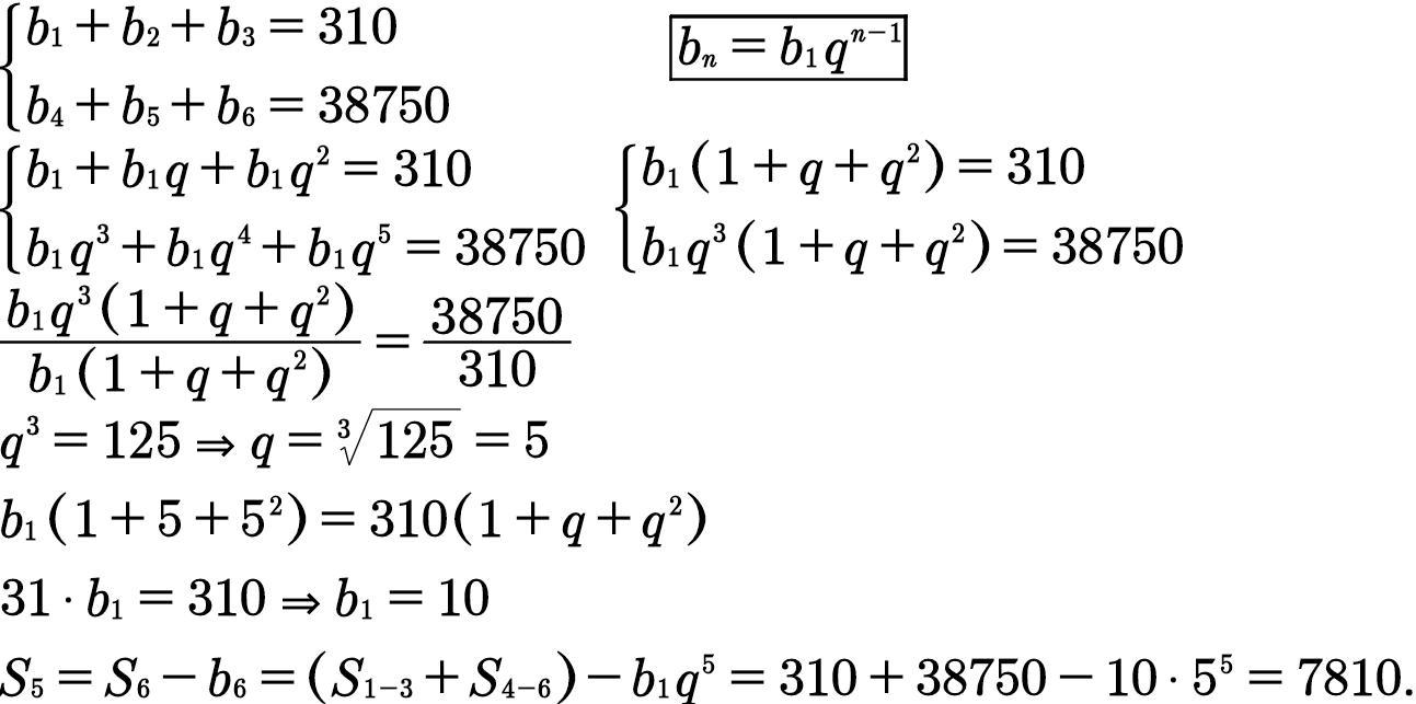
Сумма первых трёх членов геометрической прогрессии равна 310 а последующих трех 38750. Найдите сумму первых пяти членов.
Medved23:
38750?
Ответы
Ответ дал:
1
Ответ:7810
Объяснение:
Приложения:

Ответ дал:
0
Ответ:
=====
Объяснение:
Приложения:

Вас заинтересует
1 год назад
1 год назад
1 год назад
3 года назад
3 года назад
8 лет назад