Ответы
Ответ дал:
0
Пошаговое объяснение:
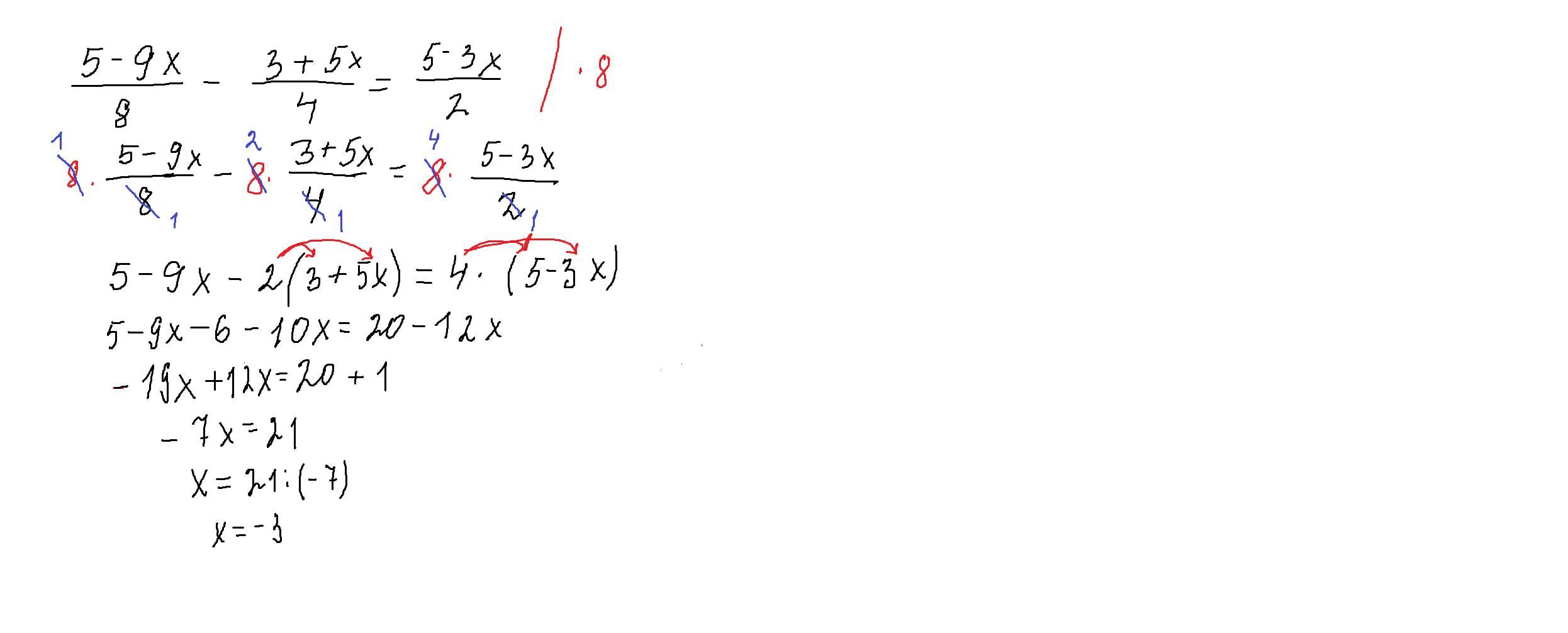
сначала все домножили на 8
5-9х-2(3+5х)=4(5-3х)
5-9х-6-10х=20-12х
12х-9х-10х=20+6-5
-7х=21
х=-3
Ответ дал:
0
Ответ:
х=-3
Пошаговое объяснение:
наидем общий знаменатель для чисел 8 ;2 и 4,это число 8.Умножим каждую дробь на 8 и избавимся от знаменателя.потом решаем линейное уравнение
Приложения:

Вас заинтересует
1 год назад
1 год назад
1 год назад
3 года назад
3 года назад
8 лет назад