• Предмет: Алгебра
  • Автор: 1milaniyabelanovich2
  • Вопрос задан 2 года назад

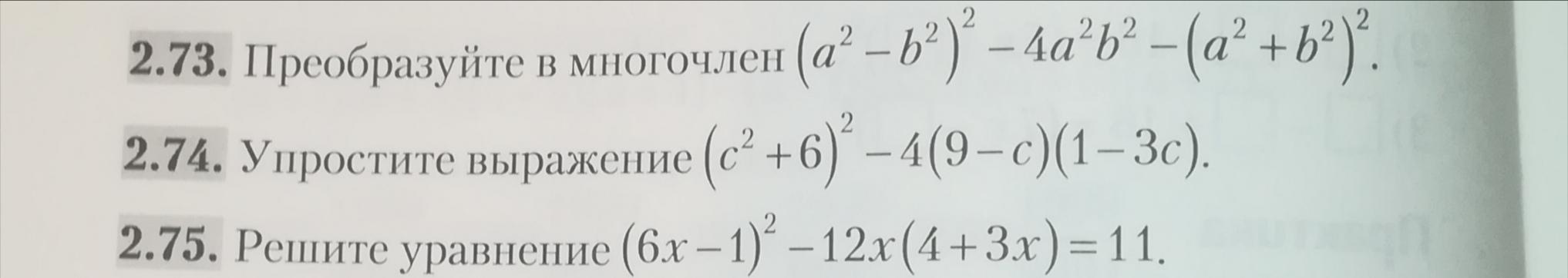
Решите их пожалуйта, очень срочно...

Приложения:

Ответы

Ответ дал: lidiasaraa3
1

..........................

Приложения:
Вас заинтересует